Why Do Nanocrystalline Cores Stay Rock Solid Under High Current? — The Truth Behind Magnetic Saturation
Discover why nanocrystalline cores outperform traditional magnetic materials under DC bias and high current. This article explains their anti-saturation behavior, supported by real customer cases and B-H curve analysis for transformers, inductors, and EMC filters.

In magnetic component design, one of the biggest challenges engineers face isn’t cost — it’s magnetic saturation.
Under high current or DC bias, once the core saturates, inductance drops, losses rise, and EMI performance collapses.
Recently, one of our EV charger clients faced this exact problem.
Their common mode choke was overheating and failing EMI tests. Testing revealed that the high-permeability permalloy core was severely saturated under DC bias, leading to a sharp decline in effective permeability.
We suggested switching to nanocrystalline cores.
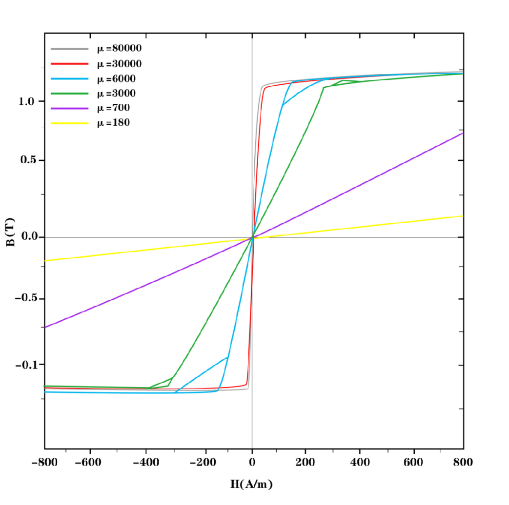
But after reviewing the B-H curves, the difference was undeniable:
High-μ alloys magnetize quickly but saturate under strong magnetic fields;
Nanocrystalline materials maintain permeability stability even under heavy DC bias;
Low-μ ferrites resist saturation but lack sufficient inductance for high-power systems.
The results were remarkable:
✅ EMI margin improved by 40%
✅ Core temperature dropped by 15°C
✅ No redesign required
Nanocrystalline alloys feature ultra-fine grains (10–20 nm), resulting in smooth domain wall motion, low hysteresis loss, and stable permeability.
Key properties include:
High saturation flux density (1.2 T)
Medium to high permeability (μ ≈ 80K ~ 190K)
Excellent DC bias tolerance
Strong temperature stability ( -40 ~ 140 degree)
That’s why nanocrystalline cores are ideal for:
Power inductors
High-frequency transformers
EV chargers, inverters, and power modules
In short, nanocrystalline materials achieve the perfect balance between permeability and saturation resistance — keeping magnetic cores rock solid under current.
JH Amorphous is a professional manufacturer specializing in nanocrystalline and amorphous magnetic cores, serving global customers in transformers, inductors, common mode chokes, and EMC filter applications.
We focus on delivering high-performance, customizable core solutions to help engineers design magnetic components that remain stable and efficient even under high current, high frequency, and harsh conditions.
👉 Visit our website or contact our export team to learn more about JH Amorphous products and technical support.
JH Amorphous — Your Trusted Partner in Advanced Magnetic Materials.